新闻资讯
咨询热线
0898-08980898传真:0898-08980898
澳大利亚昆士兰大学张承团队最新JACS: 全固态聚合物电解质的自组装设计
• 分子层级结构设计:通过分子结构精准调控,引入亲水PEO与疏水全氟聚醚PFPE链段,实现聚合物主链可控自组装,并在不同PFPE体积分数与温度下获得无序(DIS)、体心立方(BCC)、六方柱状(HEX)、层状(LAM)等多种有序形貌。• 原位表征与理论模拟结合:同步辐射SAXS、AFM等实验揭示形貌演变,DPD分子模拟进一步剖析离子通道结构与动态迁移过程,明确三维互联BCC结构对钠离子高效传输的促进作用。• 机理揭示:随着结构由无序向有序(尤其BCC)转变,钠离子电导率显著提升,界面可原位生成富含NaF和C–F的SEI层,实现电极/电解质界面的超稳定性与超低极化。• 应用性能优异:体心立方相(BCC)聚合物电解质在钠对称电池和全电池中均展现出长寿命、低极化、高库伦效率和优异高倍率性能,相关数据多项指标优于近期主流报道。
图1全面展示了氟化嵌段共聚物电解质(P(Nam-EOn)-PFPE)的设计思路、结构表征与自组装行为。首先,通过引入带电阴离子基团、疏水PFPE链段和亲水PEO链段,实现了材料分子的精准构筑。在加热和电化学工作条件下,利用同步辐射小角X射线散射(SAXS)对聚合物电解质的纳米结构进行原位分析,结合相图和不同体积分数的调控,可以观察到从无序态(DIS)到体心立方(BCC)、六方柱状(HEX)以及六方-层状(HEX+LAM)等多种自组装形貌的转变。SAXS曲线反映了各自组装结构的有序性变化,而原子力显微镜(AFM)进一步揭示了不同形貌在微观尺度上的表面结构特征。这些结果表明,通过分子设计与自组装调控,可以获得三维互联的高效离子传导通道,为高性能固态钠金属电池的电解质开发提供了新的理论基础和材料选择。
图1-3 展现了聚合物自组装过程及不同形貌对离子迁移的微观影响。BCC结构下形成三维连续离子通道,为高离子提供物理基础。
图 1 嵌段共聚物的制备与自组装行为。(a) 原位同步辐射小角X射线散射(SAXS)测试装置的示意图。(b) P(Nam-EOn)-PFPE的化学结构式。(c) P(Nam-EOn)-PFPE的相图,总结了在不同温度和PFPE体积分数(fPFPE)下材料的自组装形貌。插图展示了各对应纳米结构的示意图,红域代表PFPE结构域,蓝域代表PEO及离子结构域。(d) 不同fPFPE下,P(Nam-EOn)-PFPE在80 oC的同步辐射SAXS谱图。对应结构的布拉格峰以散射矢量q标出(q*为主散射峰位置)。 (e-g) 不同自组装形貌的原子力显微镜(AFM)表面形貌图:(e)P(Na5-EO10)-PFPE为体心立方(BCC)结构,(f)P(Na2-EO5)-PFPE为六方柱状(HEX)结构,(g)P(Na1-EO3)-PFPE为六方+层状(HEX+LAM)混合结构。(f)中的箭头标示出HEX相的方向性特征。
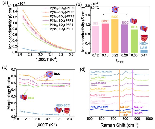
图2系统展示了氟化嵌段共聚物电解质(P(Nam-EOn)-PFPE)自组装形貌对离子传输性能的影响。研究发现,随着材料自组装形成不同的纳米结构,特别是三维互联的体心立方(BCC)相,其离子电导率在各温度区间均显著高于无序(DIS)、六方柱状(HEX)和混合层状(HEX+LAM)等形貌,说明BCC结构极大促进了钠离子的高效迁移。通过形貌因子的定量分析进一步证实,BCC相能最大程度提升聚合物电解质的离子传输效率。拉曼光谱结果显示,随着形貌由无序向有序转变,钠离子与聚合物链的相互作用方式发生变化,接触离子对(Na+-MTFS-)逐渐增多,而与聚醚氧乙烯(EO)的配位减少,进一步反映了自组装形貌对微观离子迁移机制的调控作用。整体而言,该图揭示了纳米结构调控对聚合物电解质离子导电性和电池界面行为的关键影响。
图2 自组装形貌对离子传输的影响。(a) 不同自组装结构的P(Nam-EOn)-PFPE电解质的离子电导率随温度变化的关系。(b) P(Nam-EOn)-PFPE电解质在80 oC下,离子电导率随PFPE体积分数(fPFPE)变化的趋势。(c) 代表性样品利用Sax–Ottino方程计算得到的形貌因子。(d) P(Nam-EOn)-PFPE电解质的拉曼光谱,显示了与离子-聚合物相互作用相关的振动特征信号。
图3通过分子动力学模拟直观展示了氟化嵌段共聚物电解质(CBCP)在不同PFPE体积分数下的自组装形貌演变及其对钠离子分布和扩散行为的影响。图中分别给出了BCC、HEX、HEX→LAM和LAM等典型结构的分子构型快照及对应的钠离子空间分布概率密度图,显示出随着PFPE含量的增加,离子通道从三维互联逐步过渡到有序分层,离子分布也由均匀趋向界面富集。下方的扩散系数趋势图表明,BCC结构具有最高的离子扩散效率,而层状结构扩散受限。径向分布函数(RDF)进一步揭示了不同形貌下Na+与聚合物链段的局域结构差异。整体结果说明,三维互联的BCC结构有助于提升离子迁移率,是高性能聚合物电解质设计的重要形貌基础。
图3. CBCP电解质的分子动力学模拟。(a) 体心立方(BCC,fPFPE = 0.28)、(b) 六方柱状(HEX,fPFPE = 0.35)、(c) 六方向层状过渡(HEX→LAM,fPFPE = 0.56)以及(d) 层状(LAM,fPFPE = 0.66)形貌的模拟快照及其对应的离子传导通道。模拟图中,红色表示PFPE单体,浅蓝色表示PEO单体,绿色小球表示Na+。离子传导通道中,颜色由深蓝到黄色表示Na+出现的概率分布。(e) 不同自组装形貌下离子扩散系数(D)的变化趋势。(f) BCC(fPFPE = 0.28)和(g) HEX→LAM(fPFPE = 0.56)形貌的径向分布函数(RDF)分析。
图4展示了不同自组装形貌的氟化嵌段共聚物电解质在钠对称电池中的循环稳定性和界面特性。实验结果表明,体心立方(BCC)结构的电解质在长时间循环下能够保持极低的电压极化和优异的界面稳定性,有效抑制了钠枝晶生长和短路,而无序(DIS)、六方(HEX)和混合层状(HEX+LAM)结构则更容易发生短路和界面降解。电化学阻抗谱进一步证实,BCC结构具有最低的界面阻抗。扫描电镜(SEM)图像显示,BCC结构下的钠沉积表面最为平整致密,而其它结构则呈现出粗糙、分层甚至破裂的特征。XPS分析则揭示,BCC结构更易在界面形成富NaF和C–F的稳定固体电解质中间相(SEI),进一步提升电池的循环寿命和安全性。整体来看,这些结果证明通过纳米结构调控获得的三维互联通道不仅提升了离子导电性,也显著优化了电极/电解质界面,为高安全、高性能固态钠金属电池的设计提供了有力支撑。
图5主要展示了全固态Na/NVP电池在不同自组装形貌电解质(尤其是BCC结构)下的电化学性能。图a-b对比了不同形貌电解质在0.2C和0.5C倍率下的长期循环稳定性,结果显示,BCC结构体系在高倍率下依然具有优异的循环寿命和容量保持率,而其他形貌(如HEX、LAM等)循环性能较差。图c进一步表明,BCC体系在1C高倍率下同样保持了良好的容量稳定性。图d通过EIS曲线演变分析了电池循环过程中界面阻抗的变化,证明BCC结构能够有效降低界面阻抗并提升循环稳定性。图e则将本工作所制备的Na/P(Na3-EO7)-PFPE/NVP体系与近期文献报道的相关体系进行了性能对比,结果显示该体系在循环寿命、倍率性能和容量保持等多方面均表现出色。整体结果进一步验证了通过分子设计调控聚合物电解质纳米形貌,特别是构筑三维互联的BCC结构,能够显著提升全固态钠电池的综合电化学性能。
图5. 全固态Na/NVP电池的电化学性能。(a) 在0.2 C倍率下的长期循环稳定性测试。(b) 在0.5 C倍率下的循环性能。(c) 在1 C高倍率下的性能表现。(d) 0.5 C倍率循环过程中的电化学阻抗谱(EIS)演变,揭示了界面阻抗变化及其与循环稳定性的关联。(e) Na/P(Na3-EO7)-PFPE/NVP体系与近期文献报道体系的电化学性能对比。所有测试均在80 oC下进行。
本工作以分子模拟为指导,创新性地实现了自组装纳米结构的精准调控与电化学性能协同提升,是高分子材料结构-性能一体化设计的典型范例。为高安全性、高能量密度聚合物电解质的发展及其在固态钠电池等下一代储能器件的应用奠定了理论与技术基础。
张承昆士兰大学聚合物化学课题组组长()。课题组是一个专注于推动聚合物化学及其对社会影响的研究团队,通过探索结构-性质关系来开发创新的功能性材料,用于从环境中浓缩和销毁全氟化合物(PFAS)的新技术,以及用于能量存储设备(包括电池)的下一代氟化组分,同时也包括用作分子成像剂的聚合物。课题组在国际知名期刊发表论文100余篇,包括Nature, Nature Materials, Nature Reviews Materials, Nature Communications, Chemical Reviews, JACS, Angewandte Chemie等,授权PFAS相关专利3项,参与撰写英文专著1部。在追求学术卓越和社会参与的同时,该团队积极与工业界交流合作,包括杜邦、科慕公司等,弥合基础研究与实际应用之间的鸿沟,产生全球性的影响。近年来,张承课题组在相关研究方面取得了显著成果,通过与公众积极互动,提高了人们对环境,能源和健康问题的重视。课题组的研究吸引了国内外媒体的关注,最近一项研究成果在超过450家新闻媒体上亮相,潜在受众达1.4亿人次。此外,张承博士曾是呼吁世界卫生组织彻底修改或撤回两种经过深入研究的PFAS物质饮用水指南的科学家之一。
课题组现面向聚合物化学、电池能源与环境工程方向招收全奖博士研究生,欢迎具有相关背景的优秀硕士生申请加入!联系邮箱:c..au
声明:仅代表作者个人观点,作者水平有限,如有不科学之处,请在下方留言指正!
特别声明:以上内容(如有图片或视频亦包括在内)为自媒体平台“网易号”用户上传并发布,本平台仅提供信息存储服务。
贵州省人大常委会法制工作委员会原副主任陈少荣被决定逮捕,曾被批搞权钱权色交易
创下近几届世锦赛最差战绩,潘展乐和中国游泳队新加坡缘何遭遇“滑铁卢”?
被收39%高关税 瑞士联邦主席:特朗普在最后通线岁男孩哭诉被冤枉跳楼坠亡 物业及3个孩子被判赔60万
被收39%高关税 瑞士联邦主席:特朗普在最后通线岁男孩哭诉被冤枉跳楼坠亡 物业及3个孩子被判赔60万
努比亚Z80 Ultra浮出水面:1.5K无孔屏再升级,远摄续航双突破
苹果超薄新机iPhone 17 Air电池外观曝光,厚度仅2.49毫米!
小米16 Ultra影像配置曝光:连续光变+1英寸主摄,或下放至Pro版
《编码物候》展览开幕 北京时代美术馆以科学艺术解读数字与生物交织的宇宙节律
9950X3D 并非终点:AMD 被曝将推 192MB L3 缓存 Zen 5 AM5 CPU


